- How to access DeepSeek R1 through different providers
- Real-world performance comparisons with top models from each provider
- Implementation patterns for various use cases
Accessing DeepSeek R1 Through Multiple Providers
DeepSeek R1 is available across several major cloud providers, and with Portkey’s unified API, the implementation remains consistent regardless of your chosen provider. All you need is the appropriate virtual key for your desired provider.Basic Implementation
Python
Available Providers and Models
Together AI
DeepSeek-R1DeepSeek R1 Distill Llama 70BDeepSeek R1 Distill Qwen 1.5BDeepSeek R1 Distill Qwen 14BDeepSeek-V3
Groq
DeepSeek R1 Distill Llama 70B
Cerebras
DeepSeek R1 Distill Llama 70B
Fireworks
DeepSeek R1 671B
Azure OpenAI
DeepSeek R1 671B
AWS Bedrock
DeepSeek R1 671B
Accessing DeepSeek Models Across Providers
Portkeu provides a unified API for accessing DeepSeek models across multiple providers. All you need to do start using DeepSeek models is to- Get your API Key from one of the providers mentioned above
- Get your Portkey API key from Portkey’s Dashboard
- Add your provider in Model Catalog. Name it (e.g.,
together-prod) to get a provider slug. You can set budget limits and rate limits for each provider.
Python
Comparing DeepSeek R1 Against Leading Models
We’ve created a comprehensive cookbook comparing DeepSeek R1 with OpenAI’s o1, o3-mini, and Claude 3.5 Sonnet. This cookbook compares deepseek R1 model fromtogether-ai with top models form OpenAI and Anthropic. We will be comparing the models on three different types of prompts:
- Simple Reasoning
- Numerical Comparison
- Complex Problem Solving
- Coding
You can view the result of this comparison in the cookbook and see how DeepSeek R1 compares against the top models from OpenAI and Anthropic.
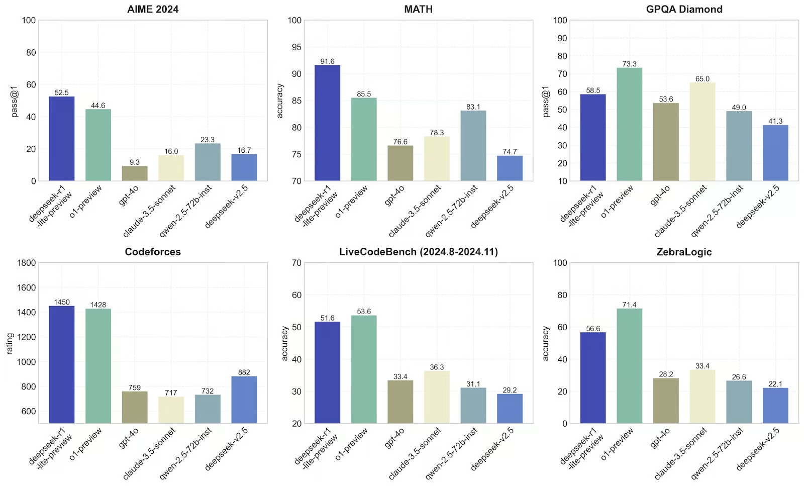
DeepSeek R1 on top benchmarks


